銑削加工范圍包括哪些

2019-07-0617:08:35銑削加工范圍包括哪些已關閉評論

銑削加工范圍很廣,這里主要介紹平面、螺旋槽的銑削方法。

1)銑平面

銑平面可在臥銑或立銑上進行,有端銑、周銑和二者兼用3種方式。所用刀具有端銑刀、圓柱銑刀、立銑刀和三面刃銑刀等,如圖5.2.64所示。

圖5.2.64 銑平面

鑲齒端銑刀刀盤直徑一般為φ75~φ300mm,甚至可達φ600mm,主要加工大平面。鑲齒端銑刀可在立銑上銑水平面(圖5.2.64(a)),亦可在臥銑上銑垂直面(圖5.2.64(b))。

圓柱銑刀可在臥銑上銑中等大小的平面,如圖5.2.64(d)所示。目前在許多場合下,圓柱銑刀已為鑲齒端銑刀所代替。

立銑刀分直柄和錐柄兩種。直柄立銑刀的直徑為φ2~φ20 mm,多用來加工溝槽;錐柄立銑刀的直徑為φ14~φ50 mm,多用來銑削小平面。可在立銑或臥銑上利用立銑頭銑削水平面、垂直面或互相垂直的臺階面(圖5.2.64(e))以及內凹平面(圖5.2.64(c))。

三面刃銑刀除銑直槽外,常用來銑四方或六方螺釘頭的小平面以及互相垂直的臺階面,如圖5.2.64(f)所示。

2)銑螺旋槽

在銑削加工中常常會遇到銑削螺旋齒輪、麻花鉆、螺旋齒圓柱銑刀等工件上的溝槽,這類工作統稱為銑螺旋槽,如圖5.2.65所示。

圖5.2.65 銑螺旋槽

關于螺旋線的概念已在第5篇2.1.3節中介紹過,其中導程L和螺旋角β的關系為:

式5.2.11是銑螺旋槽的基本計算公式。式中,D為工件直徑。當銑麻花鉆或螺旋齒圓柱銑刀的溝槽時,D為工件外徑;當銑螺旋齒輪時,D為工件分度圓直徑。

與車螺紋的原理基本相同。銑削螺旋槽時,刀具作旋轉運動,工件同時作勻速移動和勻速旋轉兩個進給運動,且二者之間必須保證當工件沿軸向移動一個導程L的同時正好旋轉一圈的運動關系。為此,需要在縱向工作臺絲杠的末端與分度頭掛輪軸之間加配換齒輪Z1,Z2,Z3,Z4,以便在絲杠旋轉帶動工作臺移動的同時又帶動分度頭主軸,進而帶動工件旋轉,如圖5.2.66所示。這時,絲杠為主動軸,分度頭主軸為被動軸。

若銑床縱向工作臺絲杠螺距為P,當它帶動縱向工作臺移動導程L的距離時,絲杠應旋轉L/P圈,經過掛輪Z1,Z2,Z3,Z4與分度頭內部兩對齒輪(速比均為1∶1)和蝸桿、蝸輪(速比為1∶40)傳動,應恰好使分度頭主軸轉過一圈。根據這一關系可得:

化簡得:

式(5.2.13)為銑螺旋槽時計算配換齒輪齒數的一般公式。

在臥銑上用盤狀銑刀銑螺旋槽時,為了使銑刀旋轉平面與槽向一致,獲得所需要的螺旋槽的截面形狀,還必須將縱向工作臺在水平面內扳轉一個工件的螺旋角β。這項調整可在萬能臥銑上通過扳轉轉臺實現。當螺旋槽為右旋時,逆時針扳轉,如圖5.2.66所示;左旋時,則順時針扳轉。

圖5.2.66 銑右旋螺旋槽俯視示意圖

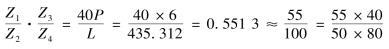
例 在X62W臥銑上銑削左旋螺旋齒圓柱銑刀的螺旋槽,齒數Z= 16,螺旋角β= 30°,外徑D= 80 mm,銑床縱向工作臺絲杠螺距P= 6 mm。試計算工件導程、掛輪齒數、每銑完一個齒分度頭手柄應轉過的圈數,并說明工作臺扳轉的角度和方向。

解 ①計算導程

L=π·D/tanβ= 3.141 6×80/tan 30°= 435.312 mm

②計算掛輪齒數

即Z1= 55,Z2= 50,Z3= 40,Z4= 80。

③計算分度頭手柄轉數

即每銑完一個齒,在66孔圈上分度頭手柄應轉過2圈又33個孔距。

④工件為左旋,β= 30°,縱向工作臺應順時針扳轉30°。

在實際生產中,可根據導程L在有關手冊中查得掛輪齒數,一般不必計算。